
현재 Neural Network는 structured 데이터에 관해 일부 분야에서 인간보다 더 잘 판단하고 추론한다고해도 과언이 아니다.
2012년이후 폭발적으로 관심을 받고 수많은 논문과 기술들이 나오면서 엄청난 정확도를 보이고 있다.
Structured 데이터의 예시로는 이미지, 텍스트, 음성신호등이 있다. 이미지는 픽셀값으로 matrix형태로 나타낼 수 있고, 텍스트또한 일정한 문자를 사용한 데이터로 임베딩을 통해 유클리디안 공간에서 표현이 가능하다.
그렇다면 unstructured 데이터에 관해서는 어떨까?
대표적으로 소셜 네트워크에서 유저들 사이의 관계는 꽤나 추상적인 개념이기에 사회적 관계망을 설명할 때 그래프는 필수적이다.
Graph Neural Network도 내 생각과는 다르게 꽤 오래전에 소개가 되었다.(2005년쯤) 하지만 인기를 얻은 건 얼마되지 않았는데, 추천시스템을 공부하면서 항상 GNN을 깊게 한번 파보자 했었는데 이제서야 시작을 하게 되었다.
이에 매주 수요일 Graph Neural Network에 관해 포스팅을 하고자 한다.
이해도 체크 겸 나중에 볼 겸 겸사겸사 기록을 해보기로 하였다.
총 4-5편정도로 이루어질 예정.
1. Graph 그래프란?
그래프란 수학이나 컴퓨터 전공인 사람이라면 익숙할텐데 그래프는 점(vertices/nodes)과 선(edges/links)으로 이루어진 데이터 구조다.
V를 점들의 집합, E를 선들의 집합이라 할 때, 그래프는 다음과 같이 표현될 수 있다.

2. Graph Neural Network이란?
GNN(Graph Neural Network)은 단어 그대로 그래프의 형태를 가진 데이터에서 사용되는 뉴럴 네트워크다.
GNN의 활용 예시로는 대표적으로 Node classification이 있다. ( 이외에도 Graph Classification, link prediction, clustering...)
이러한 여러 예시들에 쓰이는 GNN의 구조는 대표적으로 4개로 나눠질 수 있다.
1. Graph Recurrent Neural Networks
2. Graph Convolutional Neural Networks
3. Graph Pooling Operators
4. Graph Attention Mechanisms
3. GNN Architectures
- 3.1 Graph Recurrent Neural Networks
Graph Recurrent Neural Networks의 대표적인 예로는 original GNN으로 칭해지는 논문이다.
GNN을 이용하여 Node classification 하는 방식에 대해 다루었다.

Node Classification에서 각 노드 v는 feature x_v로 특징지어지고 ground truth label인 t_v와 짝지어져있다.
일부만 라벨이 주어진 그래프 G에서 목표는 라벨이 주어진 노드들을 이용해서 나머지 라벨이 없는 노드들의 라벨을 알아맞추는 것이다.(semi-supervised learning과 비슷한 맥락)
이 training 과정을 통해 다음 식과 같이 각 노드들은 d-dimensional 벡터 h_v(노드 v 주변에 대한 정보를 가지고 있는 벡터)로 표현이 된다.

x_co[v] : 노드 v와 연결된 선들의 features
h_ne[v] : 노드 v의 주변 노드들의 임베딩
x_ne[v] : 노드 v의 주변 노드들의 features
f : input값들을 d-dimensional 공간으로 매핑하는 transition function
original GNN이 Banach fixed point theorem을 기반으로 작성되었는데, thm의 내용은 다음과 같다.
(Banach 오랜만에 듣는다....)


간단히 말하자면 어떠한 조건하의 매핑은 유일한 point를 갖고 모든 점에 대해 이 매핑을 무한번 적용하면 그 유일한 point로 수렴한다는 것이다.
(증명을 잠깐 보니, T가 contraction mapping인 것을 이용해 귀납법을 사용해 증명이 된다.)
이 Banach finxed point theorem을 이용하여 위의 식

은 iterative process 형태로 다음과 같이 쓰일 수 있다.

H과 X는 각각 위의 식에서 언급한 벡터 h, x들을 concatenation이다. (즉 Matrix H에서 node v에 해당하는 column이 h_v)
GNN의 output은 feature 벡터인 x_v 뿐만 아니라 위에서 계산한 임베딩 벡터인 h_v 또한 통과시켜 나오게 된다.

앞서 나온 transition function f와 이 함수 g는 모두 feed-forwarrd fully connected Neural Networks로 해석될 수 있다.
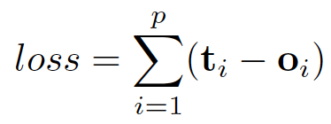
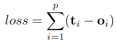
또한, L1 loss는 다음과 같다.

이 Loss function도 다른 네트워크처럼 gradient descent 방식으로 optimized될 수 있다.
그러나, 후에 이 논문에서 original GNN에 대한 한계점을 세 가지 언급한다.
-
만약 fixed point에 대한 조건이 완화된다면, 더 안정적인 representatio을 학습하기 위해 Multi-layer Perceptron을 사용하는 것이 가능해지고 iterative process을 생략할 수 있게 됨.
-
Edge 정보를 처리하는게 불가능.(두 노드 사이에 두가지 선이면 두가지의 관계를 의미함)
-
Fixed point는 노드 분포의 다양성을 저하시킴으로써 노드들의 representation을 training 하는데에 부적합함.
이러한 한계점들을 보완하기 위해 변형된 GNN이 몇가지 제안되었다.
- 3.2 Graph Convolutional Neural Networks
<다음 포스팅에 이어집니다.>
https://towardsdatascience.com/graph-neural-networks-an-overview-dfd363b6ef87
Graph Neural Networks — An overview
Over the past decade, we’ve seen that Neural Networks can perform tremendously well in structured data like images and text. Most of the…
towardsdatascience.com
An Introduction to Graph Neural Network(GNN) For Analysing Structured Data
Understand What GNN Is and What GNN Can Do
towardsdatascience.com
A Gentle Introduction to Graph Neural Network (Basics, DeepWalk, and GraphSage)
Recently, Graph Neural Network (GNN) has gained increasing popularity in various domains, including social network, knowledge graph…
towardsdatascience.com
댓글